近日,海洋领域国际知名期刊《Journal of Geophysical Research-Oceans》(中科院二区,影响因子:3.4)发表了广州海洋局匡增桂团队在深海沉积物微生物产甲烷机理研究的最新成果“Methanogenesis Reactivation in Oligotrophic Deep Subseafloor Sediments Following Environmental Constraint Alleviation: Anaerobic Incubation Evidence”(极端环境胁迫的缓解激活贫有机质深海沉积物微生物产甲烷作用:厌氧培养实验证据)。
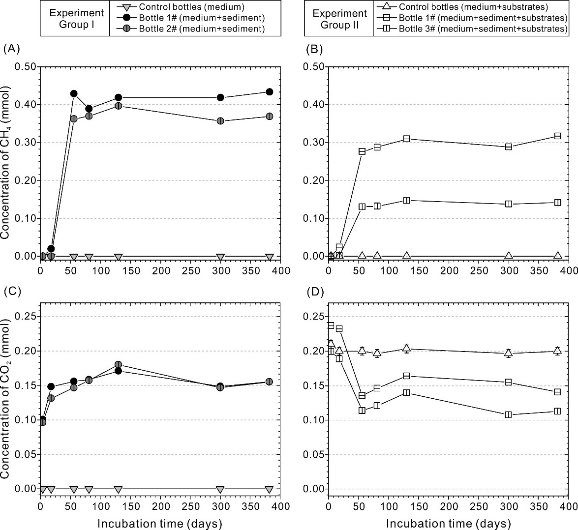
神狐海域浅层沉积物中产甲烷菌丰度极低,产甲烷作用处于严重抑制甚至是缺失的状态,目前水合物富集区微生物高效产甲烷机制仍未被揭示。研究团队通过地球化学、基因测序、厌氧微生物培养等多种手段开展综合研究,发现通过减压、升温以及添加底物/水等方式来解除原位极端环境条件对微生物新陈代谢的胁迫与限制作用,可以显著提高细菌发酵效率,加快产甲烷底物的供应,刺激产甲烷古菌的复苏与增殖,进而激活原位条件下受阻的产甲烷过程,生成大量的微生物甲烷(图1)。

图1 深海沉积物微生物厌氧产甲烷培养实验过程的气体产物含量变化图
另外,我们还发现在贫有机质深海沉积物中,甲烷八叠球菌、甲烷丝菌等通过乙酸营养型产甲烷途径生成的微生物甲烷可表现出令人惊讶的正偏稳定碳同位素(δ13C)特征(-35.6‰~-29.5‰),这样的甲烷碳同位素值特征一直被认为是典型热解成因来源范畴(图2),这提示我们不能简单地根据甲烷稳定碳同位素值这单一指标来判断水合物的气源成因。综合优势产甲烷菌群的发育情况,我们认为产甲烷菌增殖过程中对产甲烷底物选择性利用将决定了最终的古菌群落结构和甲烷同位素特征。本研究成果加深了对深海地质环境中微生物产甲烷作用的理解,对量化其在全球碳循环中的贡献以及改进微生物甲烷勘探的同位素指纹识别策略具有重要意义。

图2 厌氧微生物产甲烷培养实验过程气体产物稳定碳同位素和产甲烷菌群变化图
论文第一作者为广州海洋局高级工程师赖洪飞,通讯作者为广州海洋局正高级工程师匡增桂。该项研究由国家自然科学基金(42476233)、广东省基础与应用基础研究项目(2023A1515010913,2022A1515110569)、天然气水合物勘查开发国家工程研究中心青年团队项目(NERC2024001)等项目联合资助。
文章信息:Lai, H., Kuang, Z., Deng, Y., Jia, Z., Cao, J., & Fang, Y. (2025). Methanogenesis reactivation in oligotrophic deep subseafloor sediments following environmental constraint alleviation: Anaerobic incubation evidence. Journal of Geophysical Research: Oceans, 130, e2025JC023163.https://doi.org/10.1029/2025JC023163.